Упр.640 ГДЗ Алимов 10-11 класс (Алгебра)
Решение #1
Решение #2

Рассмотрим вариант решения задания из учебника Алимов, Колягин, Ткачёва 10 класс, Просвещение:
640 1) cos2 x + cos2 2x = cos2 3x + cos2 4x;
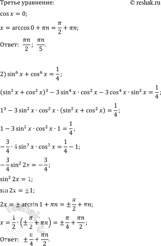
2) sin6x+cos6x=1/4.
*размещая тексты в комментариях ниже, вы автоматически соглашаетесь с пользовательским соглашением