Упр.643 ГДЗ Алимов 10-11 класс (Алгебра)
Решение #1
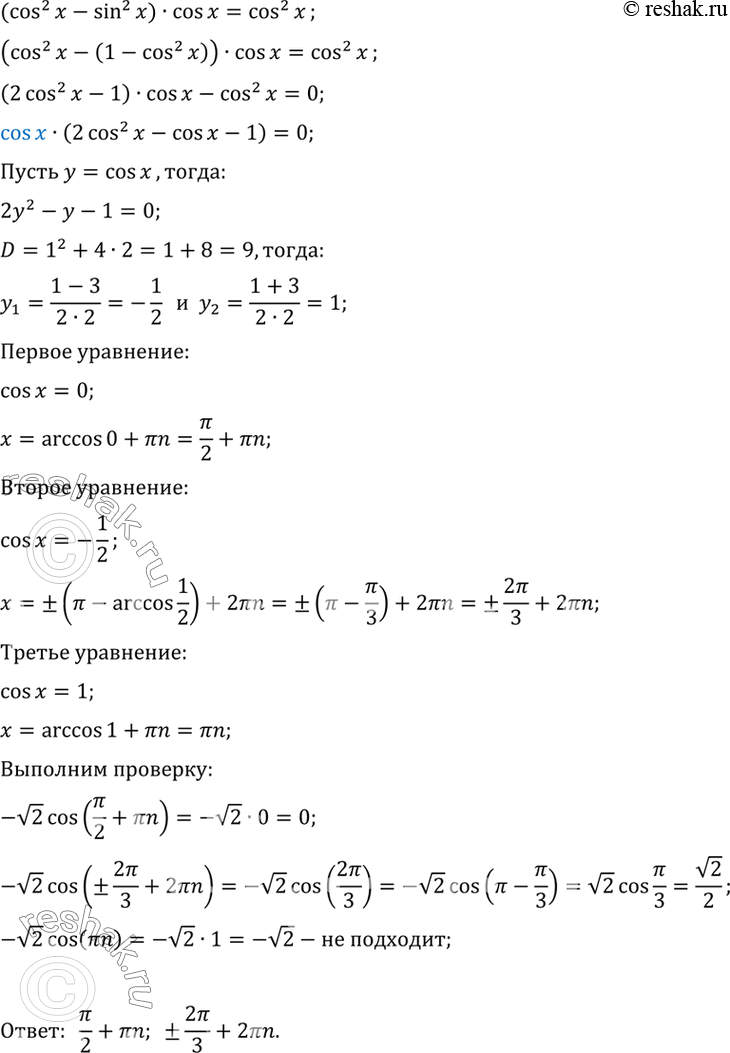
Решение #2

Рассмотрим вариант решения задания из учебника Алимов, Колягин, Ткачёва 10 класс, Просвещение:
643 1) корень (5cosx-cos2x) = -2sinx;
2) корень (cosx-cos3x) = - корень 2cosx.
*размещая тексты в комментариях ниже, вы автоматически соглашаетесь с пользовательским соглашением