Упр.647 ГДЗ Алимов 10-11 класс (Алгебра)
Решение #1
Решение #2

Рассмотрим вариант решения задания из учебника Алимов, Колягин, Ткачёва 10 класс, Просвещение:
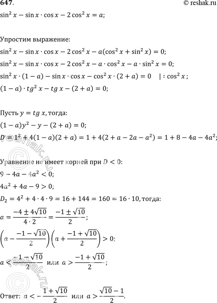
647 Найти все значения а, при которых уравнение sin2 х - sin х cos х - 2 cos2 х = а не имеет корней.
*размещая тексты в комментариях ниже, вы автоматически соглашаетесь с пользовательским соглашением