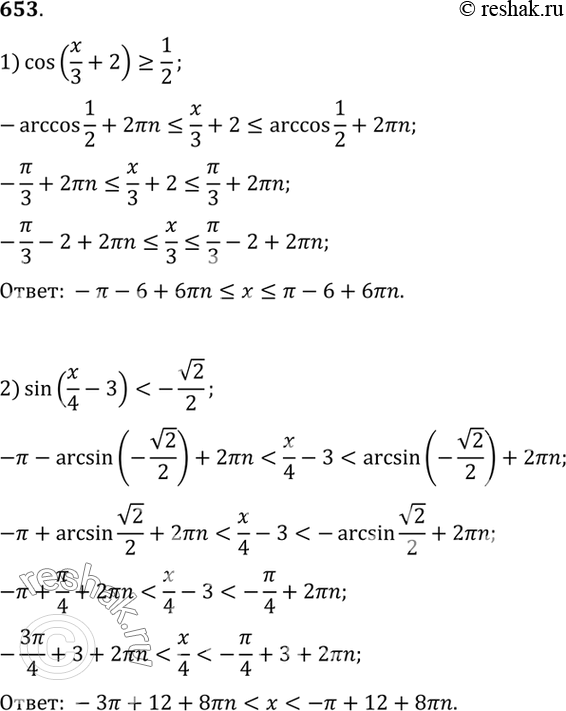
Упр.653 ГДЗ Алимов 10-11 класс (Алгебра)
Решение #1
Решение #2

Рассмотрим вариант решения задания из учебника Алимов, Колягин, Ткачёва 10 класс, Просвещение:
653 1)cos(x/3+2)>=1/2;
2) sin(x/4-3)<-корень 2/2.
*размещая тексты в комментариях ниже, вы автоматически соглашаетесь с пользовательским соглашением