Упр.652 ГДЗ Алимов 10-11 класс (Алгебра)
Решение #1
Решение #2

Рассмотрим вариант решения задания из учебника Алимов, Колягин, Ткачёва 10 класс, Просвещение:
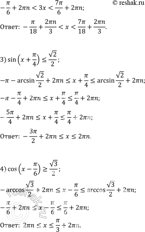
652 1)корень 2 cos2x<-1;
2) 2sin3x>-1;
3) sin(x+пи/4)<=корень 2/2;
4) cos(x-пи/6)>=корень 3/2.
*размещая тексты в комментариях ниже, вы автоматически соглашаетесь с пользовательским соглашением