Упр.639 ГДЗ Алимов 10-11 класс (Алгебра)
Решение #1
Решение #2

Рассмотрим вариант решения задания из учебника Алимов, Колягин, Ткачёва 10 класс, Просвещение:
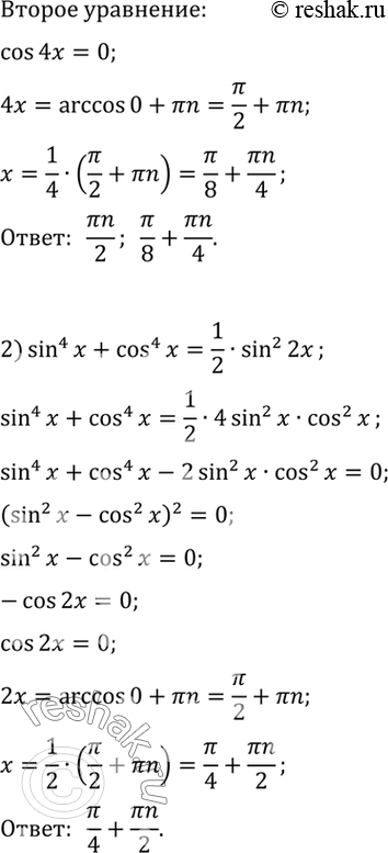
639 1) sin x sin 2x sin Зx =1/4 sin 4x;
2) sin4 x + cos4 x = 1/2 sin2 2x.
*размещая тексты в комментариях ниже, вы автоматически соглашаетесь с пользовательским соглашением