Упр.634 ГДЗ Алимов 10-11 класс (Алгебра)
Решение #1
Решение #2

Рассмотрим вариант решения задания из учебника Алимов, Колягин, Ткачёва 10 класс, Просвещение:
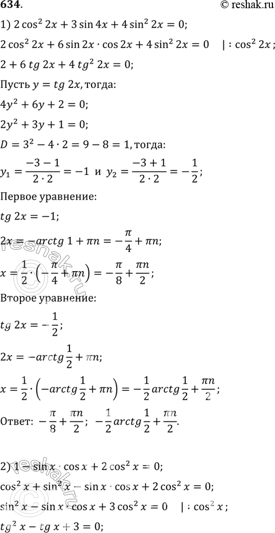
634 1) 2 cos2 2x + 3 sin 4x + 4 sin2 2x = 0;
2) 1 - sin x cos x + 2 cos2 x = 0;
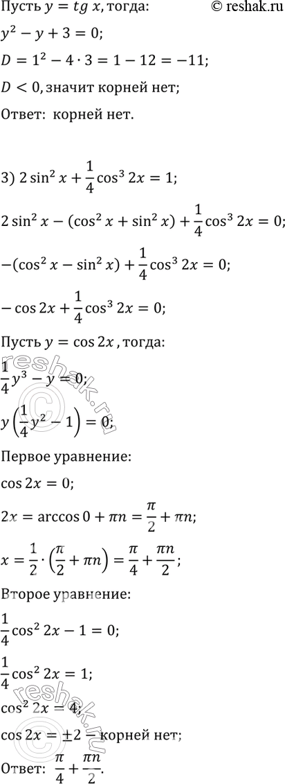
3) 2 sin2 x + 1/4cos3 2x = 1;
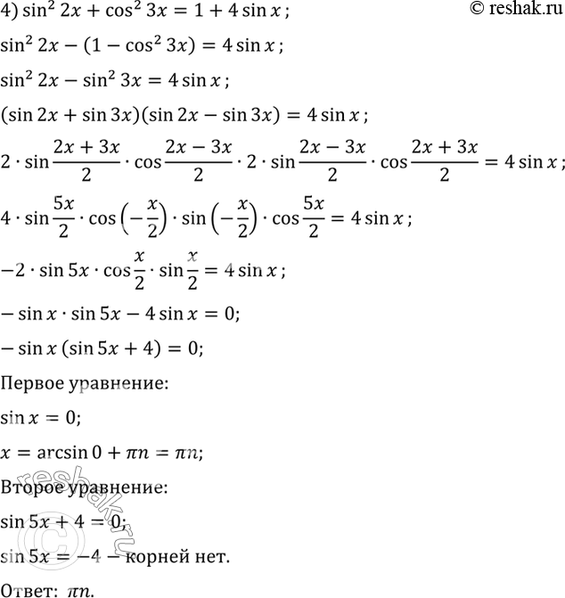
4) sin2 2x + cos2 3x = 1 + 4 sin x.
*размещая тексты в комментариях ниже, вы автоматически соглашаетесь с пользовательским соглашением