Упр.447 ГДЗ Макарычев Миндюк 8 класс (Алгебра)
Решение #1
Решение #2
Решение #3

Рассмотрим вариант решения задания из учебника Макарычев, Миндюк, Нешков 8 класс, Просвещение:
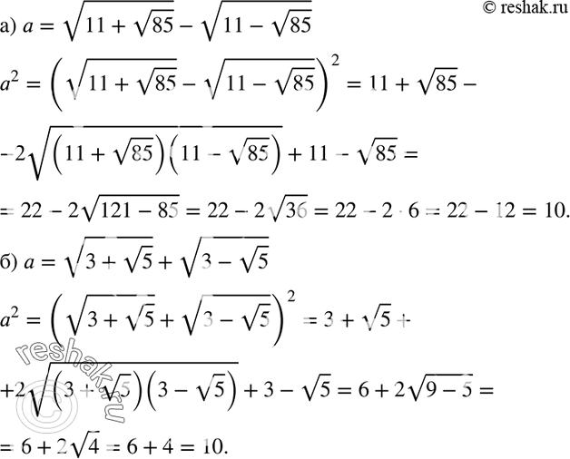
447. Упростите выражение, вычислив предварительно значение а2, если:
а) а = корень (11 + корень 85) - корень (11- корень 85);
б) а = корень (3 + корень 5) + корень (3 - корень 5).
*размещая тексты в комментариях ниже, вы автоматически соглашаетесь с пользовательским соглашением