Упр.453 ГДЗ Макарычев Миндюк 8 класс (Алгебра)
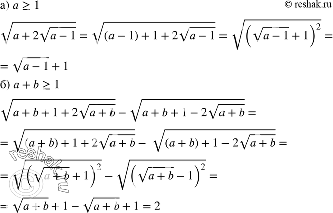
Решение #1
Решение #2

Рассмотрим вариант решения задания из учебника Макарычев, Миндюк, Нешков 8 класс, Просвещение:
453 Освободитесь от внешнего радикала в выражении:
*размещая тексты в комментариях ниже, вы автоматически соглашаетесь с пользовательским соглашением