Упр.444 ГДЗ Макарычев Миндюк 8 класс (Алгебра)
Решение #1
Решение #2

Рассмотрим вариант решения задания из учебника Макарычев, Миндюк, Нешков 8 класс, Просвещение:
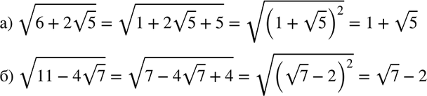
444. Освободитесь от внешнего радикала, представив подкоренное выражение в виде квадрата:
а) корень (6+2 корень 5);
б) корень (11-4 корень 7).
*размещая тексты в комментариях ниже, вы автоматически соглашаетесь с пользовательским соглашением