Упр.700 ГДЗ Алимов 10-11 класс (Алгебра)
Решение #1
Решение #2

Рассмотрим вариант решения задания из учебника Алимов, Колягин, Ткачёва 11 класс, Просвещение:
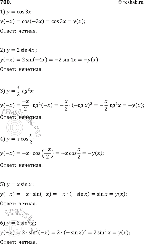
700 Выяснить, является ли данная функция чётной или нечётной (700—701).
1) у = cos Зх;
2) у = 2 sin 4х;
3) у = x/2 tg2 х;
4) у = х cos x/2;
5) у = х sin х;
6) у = 2 sin2 х.
*размещая тексты в комментариях ниже, вы автоматически соглашаетесь с пользовательским соглашением