Упр.703 ГДЗ Алимов 10-11 класс (Алгебра)
Решение #1
Решение #2

Рассмотрим вариант решения задания из учебника Алимов, Колягин, Ткачёва 11 класс, Просвещение:
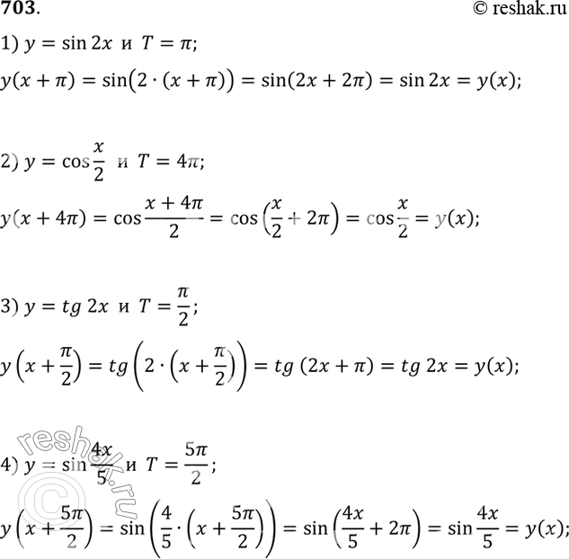
703 Доказать, что функция у = f(x) периодом Т, если:
1) у = sin 2х, Т = пи;
2) у = cos x/2, Т = 4пи;
3) y = tg 2х, Т = пи/2;
4) y=sin 4x/5, T=5пи/2.
*размещая тексты в комментариях ниже, вы автоматически соглашаетесь с пользовательским соглашением