Упр.696 ГДЗ Алимов 10-11 класс (Алгебра)
Решение #1
Решение #2

Рассмотрим вариант решения задания из учебника Алимов, Колягин, Ткачёва 11 класс, Просвещение:
696 Найти множество значений функции:
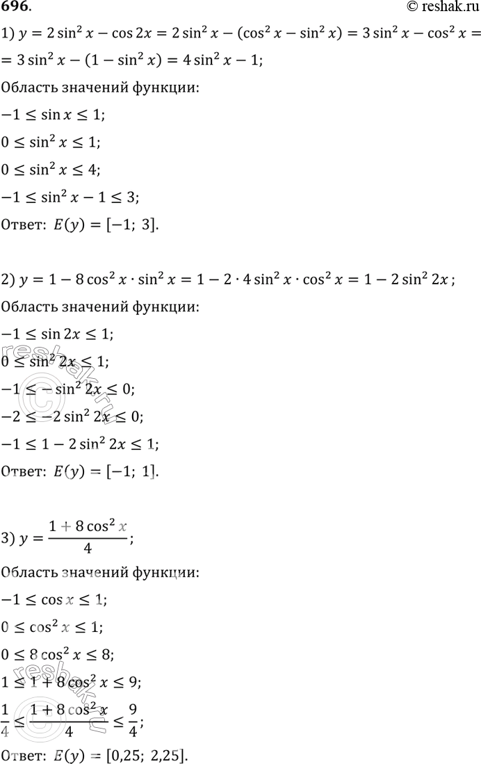
1) у = 2 sin2 х - cos 2х;
2) у = 1-8 cos2 х sin2 х;
3) у = (1+8cos2x)/4;
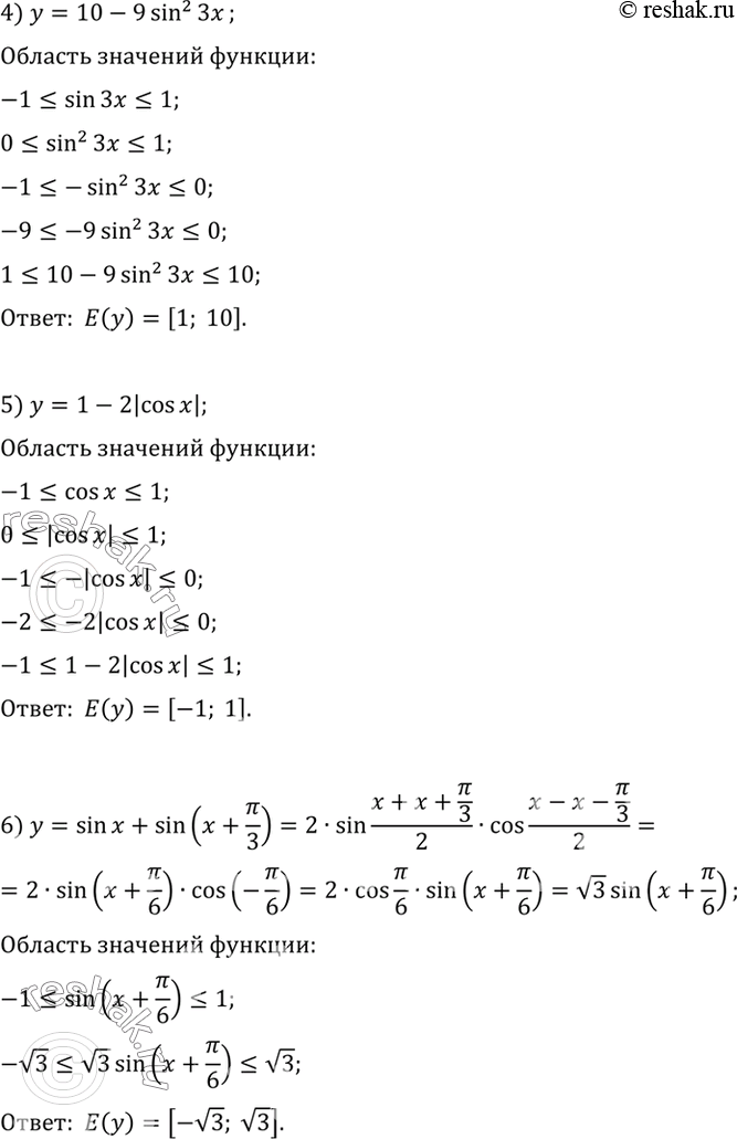
4) у = 10-9 sin2 Зх;
5) у = 1 - 2 |cos х|;
6) у = sinx + sin(x+пи/3).
*размещая тексты в комментариях ниже, вы автоматически соглашаетесь с пользовательским соглашением