Упр.621 ГДЗ Алимов 10-11 класс (Алгебра)
Решение #1
Решение #2

Рассмотрим вариант решения задания из учебника Алимов, Колягин, Ткачёва 10 класс, Просвещение:
21 1) 2 cos2 x - sin x + 1 = 0;
2) 3 cos2 x - sin x - 1 = 0;
3) 4 sin2 x - cos x - 1 = 0;
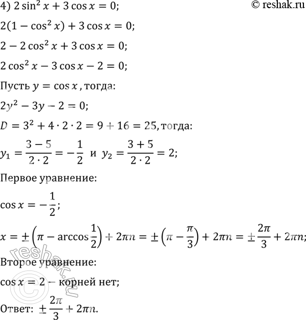
4) 2 sin2 x + 3 cos x = 0.
*размещая тексты в комментариях ниже, вы автоматически соглашаетесь с пользовательским соглашением