Упр.41.64 ГДЗ Мордковича 10 класс профильный уровень (Алгебра)
Решение #1
Решение #2(записки учителя)
Решение #3(записки школьника)

Рассмотрим вариант решения задания из учебника Мордкович, Семенов 10 класс, Мнемозина:
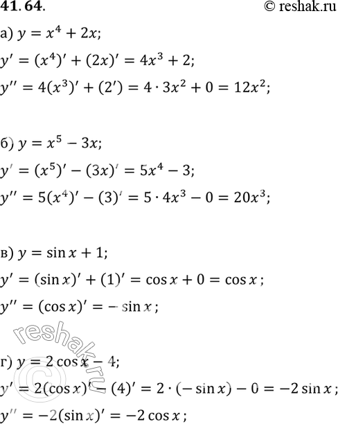
Найдите вторую производную функции:
a) у - х4 + 2х;
б) у = х5 - 3х;
в) у = sin х + 1;
г) у = 2 cos х - 4.
*размещая тексты в комментариях ниже, вы автоматически соглашаетесь с пользовательским соглашением