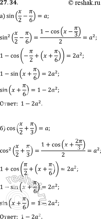
Упр.27.34 ГДЗ Мордковича 10 класс профильный уровень (Алгебра)
Решение #1
Решение #2(записки учителя)

Рассмотрим вариант решения задания из учебника Мордкович, Семенов 10 класс, Мнемозина:
Вычислите sin (x + пи/6), если:
a) sin (x/2 - пи/6);
б) cos (x/2 + пи/3).
*размещая тексты в комментариях ниже, вы автоматически соглашаетесь с пользовательским соглашением