Упр.27.30 ГДЗ Мордковича 10 класс профильный уровень (Алгебра)

Решение #1

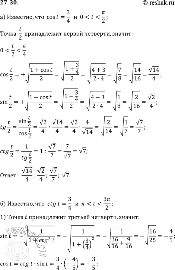
Изображение a) Известно, что cos t = 3/4,  0 < t < пи/2. Вычислите: cos t/2, sin t/2, tg t/2, ctg t/2.б) Известно, что ctg t = 3/4, пи < t < 3пи/2. Вычислите: cos t/2, sin t/2, tg...
Дополнительное изображение

Решение #2(записки учителя)

Изображение a) Известно, что cos t = 3/4,  0 < t < пи/2. Вычислите: cos t/2, sin t/2, tg t/2, ctg t/2.б) Известно, что ctg t = 3/4, пи < t < 3пи/2. Вычислите: cos t/2, sin t/2, tg...

Решение #3(записки школьника)

Изображение a) Известно, что cos t = 3/4,  0 < t < пи/2. Вычислите: cos t/2, sin t/2, tg t/2, ctg t/2.б) Известно, что ctg t = 3/4, пи < t < 3пи/2. Вычислите: cos t/2, sin t/2, tg...
Дополнительное изображение
Загрузка...

Рассмотрим вариант решения задания из учебника Мордкович, Семенов 10 класс, Мнемозина:
a) Известно, что cos t = 3/4, 0 < t < пи/2. Вычислите: cos t/2, sin t/2, tg t/2, ctg t/2.
б) Известно, что ctg t = 3/4, пи < t < 3пи/2. Вычислите: cos t/2, sin t/2, tg t/2, ctg t/2.
*Цитирирование задания со ссылкой на учебник производится исключительно в учебных целях для лучшего понимания разбора решения задания.
*размещая тексты в комментариях ниже, вы автоматически соглашаетесь с пользовательским соглашением