Упр.974 ГДЗ Макарычев Миндюк 8 класс (Алгебра)
Решение #1
Решение #2

Рассмотрим вариант решения задания из учебника Макарычев, Миндюк, Нешков 8 класс, Просвещение:
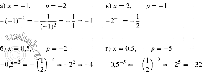
974. Какое значение принимает выражение -хр, если:
а) х = -1, р = -2;
б) x = 0,5, р = -2;
в) х = 2, р = -1;
г) х = 0,5, р = -5?
*размещая тексты в комментариях ниже, вы автоматически соглашаетесь с пользовательским соглашением