Упр.971 ГДЗ Макарычев Миндюк 8 класс (Алгебра)
Решение #1
Решение #2

Рассмотрим вариант решения задания из учебника Макарычев, Миндюк, Нешков 8 класс, Просвещение:
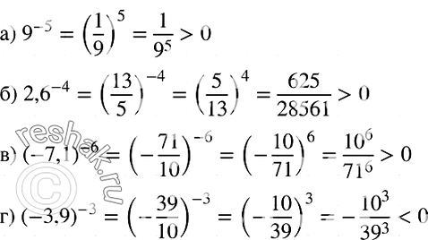
971. Сравните с нулём значение степени:
а) 9^-5;
б) 2,6^-4;
в) (-7,1)^6;
г) (-3,9)^-3.
*размещая тексты в комментариях ниже, вы автоматически соглашаетесь с пользовательским соглашением