Упр.771 ГДЗ Макарычев Миндюк 8 класс (Алгебра)
Решение #1
Решение #2

Рассмотрим вариант решения задания из учебника Макарычев, Миндюк, Нешков 8 класс, Просвещение:
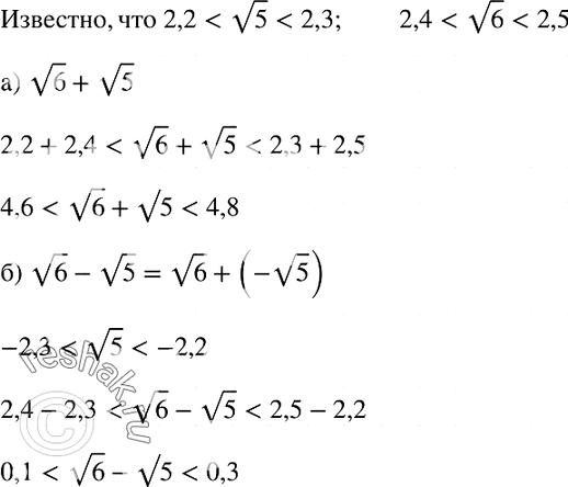
771. Пользуясь тем, что 2,2 < корень 5 < 2,3 и 2,4 < корень 6 < 2,5, оцените:
а) корень 6 + корень 5;
б) корень 6 - корень 5.
*размещая тексты в комментариях ниже, вы автоматически соглашаетесь с пользовательским соглашением