Упр.768 ГДЗ Макарычев Миндюк 8 класс (Алгебра)
Решение #1
Решение #2

Рассмотрим вариант решения задания из учебника Макарычев, Миндюк, Нешков 8 класс, Просвещение:
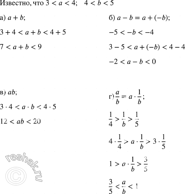
768. Пусть 3< а < 4 и 4 < b < 5. Оцените:
а) а + b;
б) a-b;
в) ab;
г) a/b.
*размещая тексты в комментариях ниже, вы автоматически соглашаетесь с пользовательским соглашением