Упр.26 ГДЗ Макарычев Миндюк 8 класс (Алгебра)
Решение #1
Решение #2

Рассмотрим вариант решения задания из учебника Макарычев, Миндюк, Нешков 8 класс, Просвещение:
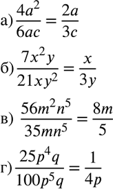
26. Сократите дробь:
а) 4a2/6ac;
б) 7x2y/21xy2;
в) 56m2n5/35mn5;
г) 25p4q/100p5q.
*размещая тексты в комментариях ниже, вы автоматически соглашаетесь с пользовательским соглашением