Упр.25 ГДЗ Макарычев Миндюк 8 класс (Алгебра)
Решение #1
Решение #2

Рассмотрим вариант решения задания из учебника Макарычев, Миндюк, Нешков 8 класс, Просвещение:
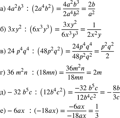
25. Представьте частное в виде дроби и сократите её:
а) 4а2b3 : (2а4b2);
б) 3ху2 : (6х3у3);
в) 24p4q4 : (48p2q2);
г) 36m2n : (18mn);
д) -32b5с : (12b4с2);
е) -6ах : (-18ах).
*размещая тексты в комментариях ниже, вы автоматически соглашаетесь с пользовательским соглашением