Упр.74 ГДЗ Алимов 10-11 класс (Алгебра)
Решение #1
Решение #2

Рассмотрим вариант решения задания из учебника Алимов, Колягин, Ткачёва 10 класс, Просвещение:
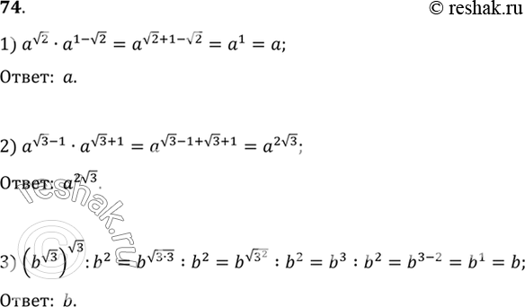
74. Упростить выражение:
1) a корень 2 * a^(1-корень 2);
2) a (корень 3) - 1 * a(корень 3) +1;
3) (b корень 3)корень 3 : b2.
*размещая тексты в комментариях ниже, вы автоматически соглашаетесь с пользовательским соглашением