Упр.149 ГДЗ Алимов 10-11 класс (Алгебра)
Решение #1
Решение #2

Рассмотрим вариант решения задания из учебника Алимов, Колягин, Ткачёва 10 класс, Просвещение:
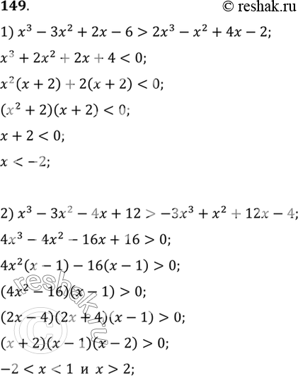
149. Решить неравенство:
1) x3-3x2+2x-6>2x3-x2+4x-2;
2) x3-3x2-4x+12>-3x3+x2+12x-4.
*размещая тексты в комментариях ниже, вы автоматически соглашаетесь с пользовательским соглашением