Упр.1255 ГДЗ Алимов 10-11 класс (Алгебра)
Решение #1
Решение #2

Рассмотрим вариант решения задания из учебника Алимов, Колягин, Ткачёва 11 класс, Просвещение:
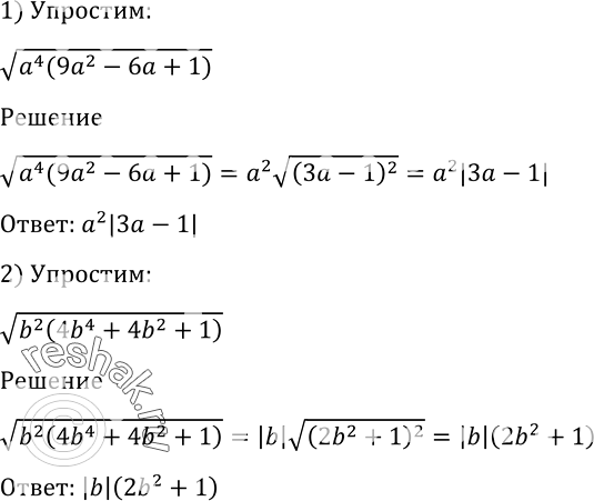
1255 1) корень (a4(9a2-6a+1);
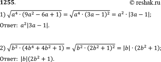
2) корень (b2(4b4+4b2+1).
*размещая тексты в комментариях ниже, вы автоматически соглашаетесь с пользовательским соглашением