Упр.42.34 ГДЗ Мордковича 10 класс профильный уровень (Алгебра)
Решение #1
Решение #2(записки учителя)
Решение #3(записки школьника)

Рассмотрим вариант решения задания из учебника Мордкович, Семенов 10 класс, Мнемозина:
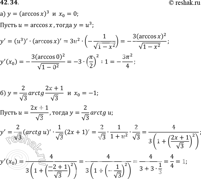
Найдите значение производной функции в точке х0
a) у = (arccos х)3, х0 = 0;
б) у = 2/корень3 arctg (2x + 1)/корень3, x0 = -1;
в) у = arcsin корень x, x0 = 1/2;
г) у = arccos (2 -x)/x корень2, x0 = 1.
*размещая тексты в комментариях ниже, вы автоматически соглашаетесь с пользовательским соглашением