Упр.36.10 ГДЗ Мордковича 10 класс профильный уровень (Алгебра)
Решение #1
Решение #2(записки учителя)
Решение #3(записки школьника)
Решение #4

Рассмотрим вариант решения задания из учебника Мордкович, Семенов 10 класс, Мнемозина:
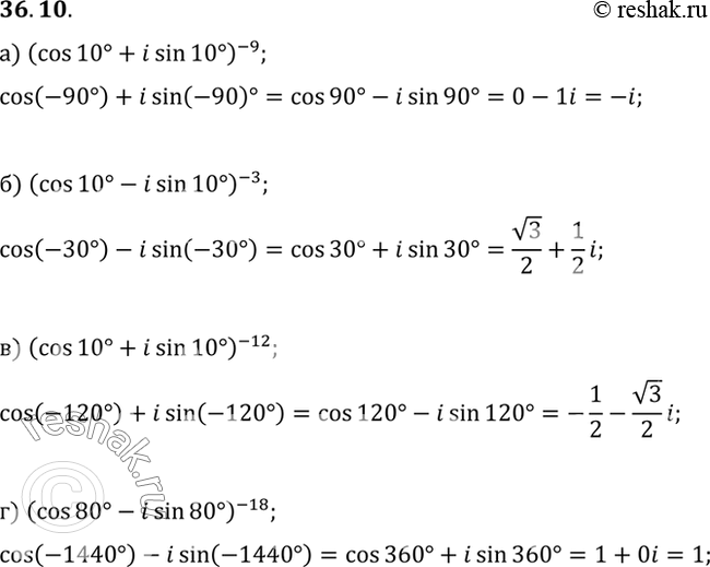
a) (cos 10° + i sin 10°)(-9);
б) (cos 10° - i sin 10°)(-3);
в) (cos 10° + i sin 10°)(-12);
г) (cos 80° - i sin 80°)(-18).
*размещая тексты в комментариях ниже, вы автоматически соглашаетесь с пользовательским соглашением