Упр.32.19 ГДЗ Мордковича 10 класс профильный уровень (Алгебра)
Решение #1
Решение #2(записки учителя)
Решение #3(записки школьника)
Решение #4

Рассмотрим вариант решения задания из учебника Мордкович, Семенов 10 класс, Мнемозина:
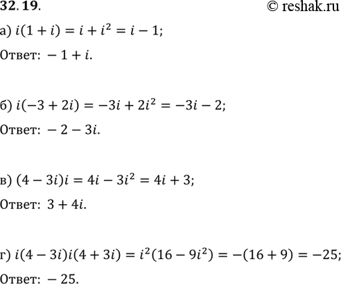
Вычислите:
a) i( 1 + i);
б) i(-3 + 2i);
в) (4 - 3i)i;
г) i(4 - 3i)i(4 + 3i).
*размещая тексты в комментариях ниже, вы автоматически соглашаетесь с пользовательским соглашением