Упр.32.10 ГДЗ Мордковича 10 класс профильный уровень (Алгебра)
Решение #1
Решение #2(записки учителя)

Рассмотрим вариант решения задания из учебника Мордкович, Семенов 10 класс, Мнемозина:
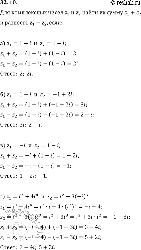
Для комплексных чисел z1 и z2 найдите их сумму z1 + z2 и разность z1 - z2, если:
a) z1 = 1 + i, z2 = 1 - i;
б) z1 = 1 + i, z2 = -1 + 2i;
в) z1 = -i, z2 = 1 - i;
г) z1 = i3 + 4i4, z2 = i2 - 3(-i)3.
*размещая тексты в комментариях ниже, вы автоматически соглашаетесь с пользовательским соглашением