Упр.31.23 ГДЗ Мордковича 10 класс профильный уровень (Алгебра)
Решение #1
Решение #2(записки учителя)
Решение #3(записки школьника)
Решение #4

Рассмотрим вариант решения задания из учебника Мордкович, Семенов 10 класс, Мнемозина:
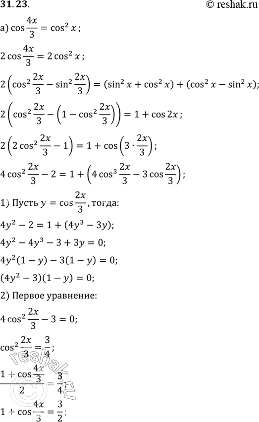
a) cos 4x/3 = cos2 x;
6) 32 cos6 x - cos 6x = 1.
*размещая тексты в комментариях ниже, вы автоматически соглашаетесь с пользовательским соглашением