Упр.28.5 ГДЗ Мордковича 10 класс профильный уровень (Алгебра)
Решение #1
Решение #2(записки учителя)
Решение #3(записки школьника)

Рассмотрим вариант решения задания из учебника Мордкович, Семенов 10 класс, Мнемозина:
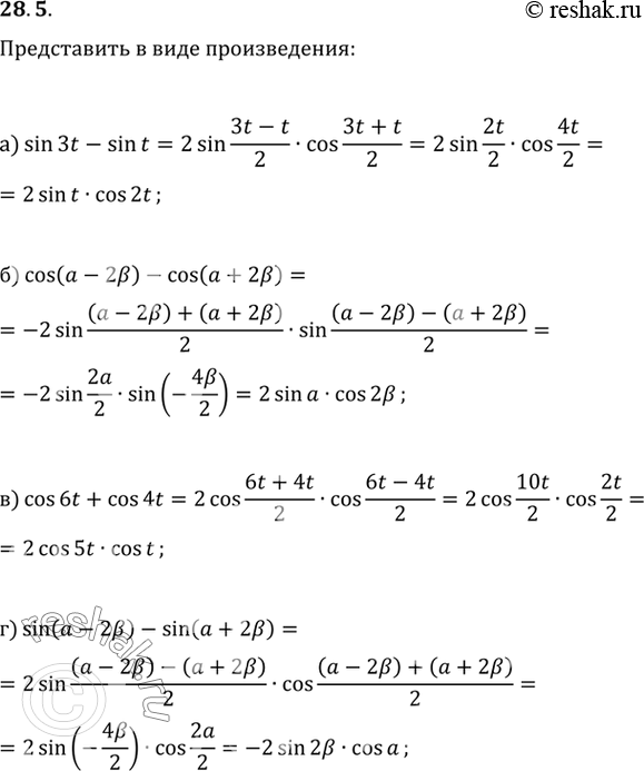
a) sin 3t - sin t;
б) cos (a - 2b) - cos (a + 2b);
в) cos 6t + cos 4t;
r) sin (a - 2b) - sin (a + 2b).
*размещая тексты в комментариях ниже, вы автоматически соглашаетесь с пользовательским соглашением