Упр.8 ГДЗ Макарычев Миндюк 9 класс (Алгебра)
Решение #1
Решение #2
Решение #3

Рассмотрим вариант решения задания из учебника Макарычев, Миндюк, Нешков 9 класс, Просвещение:
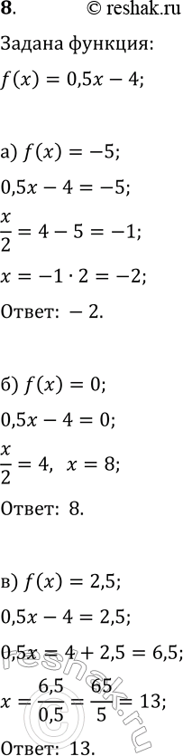
8 Найдите значение х, при котором функция, заданная формулой f(x) = 0,5x - 4, принимает значение, равное: а) -5; б) 0; в) 2,5.
*размещая тексты в комментариях ниже, вы автоматически соглашаетесь с пользовательским соглашением