Упр.627 ГДЗ Макарычев Миндюк 9 класс (Алгебра)
Решение #1
Решение #2

Рассмотрим вариант решения задания из учебника Макарычев, Миндюк, Нешков 9 класс, Просвещение:
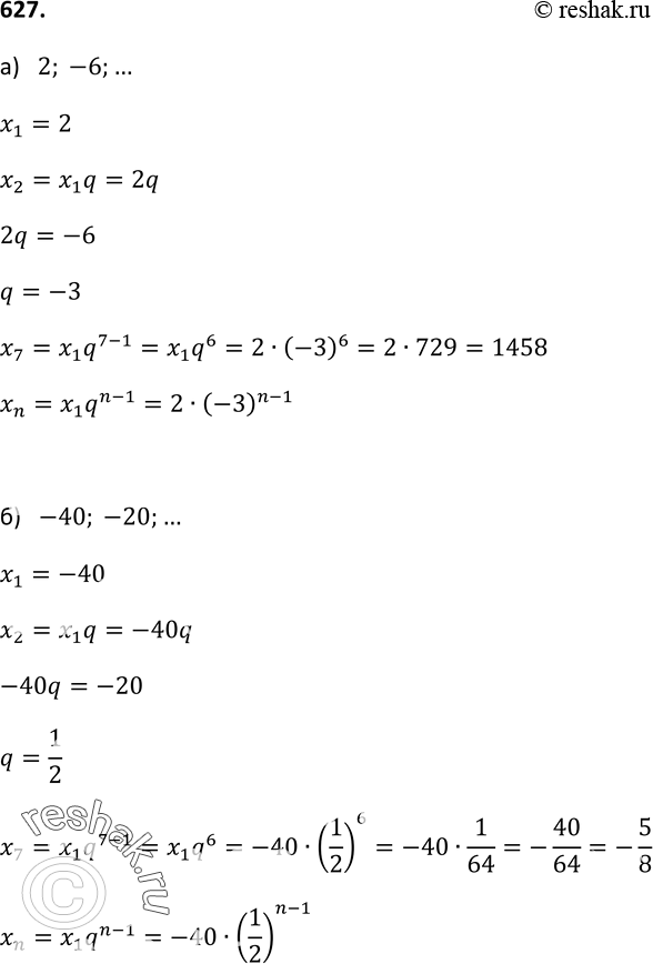
627. Найдите седьмой и n-й члены геометрической прогрессии:
а) 2; -6; ... ;
б) -40; -20; ... ;
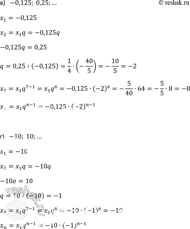
в) -0,125; 0,25; ... ;
г) -10; 10; ... .
*размещая тексты в комментариях ниже, вы автоматически соглашаетесь с пользовательским соглашением