Упр.609 ГДЗ Макарычев Миндюк 9 класс (Алгебра)
Решение #1
Решение #2

Рассмотрим вариант решения задания из учебника Макарычев, Миндюк, Нешков 9 класс, Просвещение:
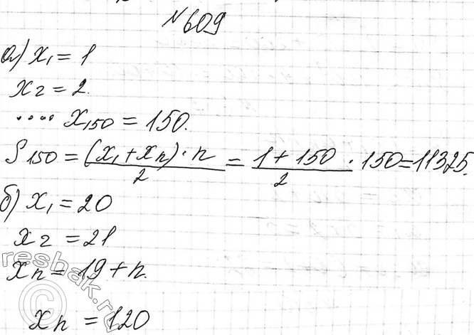
609. Найдите сумму:
а) всех натуральных чисел, не превосходящих 150;
б) всех натуральных чисел от 20 до 120 включительно;
в) всех натуральных чисел, кратных 4 и не превосходящих 300;
г) всех натуральных чисел, кратных 7 и не превосходящих 130.
*размещая тексты в комментариях ниже, вы автоматически соглашаетесь с пользовательским соглашением