Упр.888 ГДЗ Макарычев Миндюк 8 класс (Алгебра)
Решение #1
Решение #2

Рассмотрим вариант решения задания из учебника Макарычев, Миндюк, Нешков 8 класс, Просвещение:
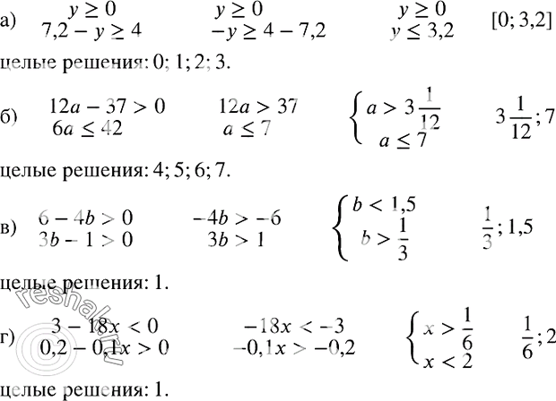
888. Найдите целые решения системы неравенств:
а) система
y>=0,
7,2-y>=4;
б) система
12a-37>0,
6a<=42;
в) система
6-4b>0,
3b-1>0;
г) система
3-18x<0,
0,2-0,1x>0.
*размещая тексты в комментариях ниже, вы автоматически соглашаетесь с пользовательским соглашением