Упр.844 ГДЗ Макарычев Миндюк 8 класс (Алгебра)
Решение #1
Решение #2

Рассмотрим вариант решения задания из учебника Макарычев, Миндюк, Нешков 8 класс, Просвещение:
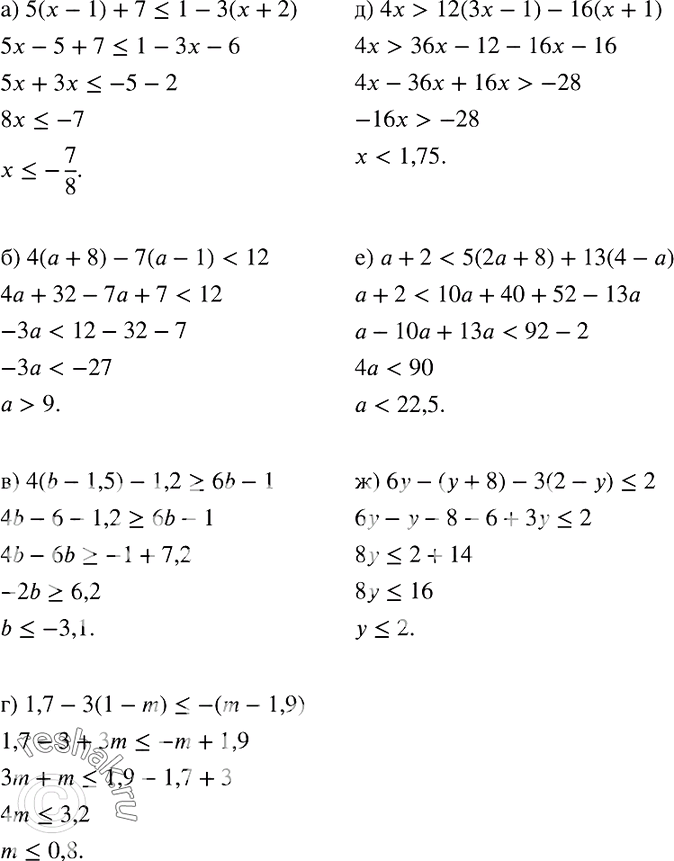
844. Решите неравенство:
а) 5(х-1) + 7 <= 1- 3(х + 2);
б) 4 (а + 8) - 7(а - 1) < 12;
в) 4(b - 1,5) - 1,2 > 6b - 1;
г) 1,7 - 3(1 - m) <= (m - 1,9);
д) 4х > 12(3x - 1) - 16(х + 1);
е) а + 2 < 5(2а + 8) + 13(4- а);
ж) 6y - (у + 8) - 3(2 - у) <= 2.
*размещая тексты в комментариях ниже, вы автоматически соглашаетесь с пользовательским соглашением