Упр.758 ГДЗ Макарычев Миндюк 8 класс (Алгебра)
Решение #1
Решение #2

Рассмотрим вариант решения задания из учебника Макарычев, Миндюк, Нешков 8 класс, Просвещение:
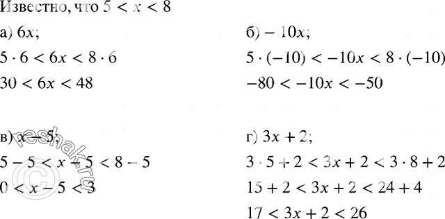
758. Зная, что 5 < х < 8, оцените значение выражения:
а) 6х; б) -10х; в) х-5; г) 3х + 2.
*размещая тексты в комментариях ниже, вы автоматически соглашаетесь с пользовательским соглашением