Упр.728 ГДЗ Макарычев Миндюк 8 класс (Алгебра)
Решение #1
Решение #2

Рассмотрим вариант решения задания из учебника Макарычев, Миндюк, Нешков 8 класс, Просвещение:
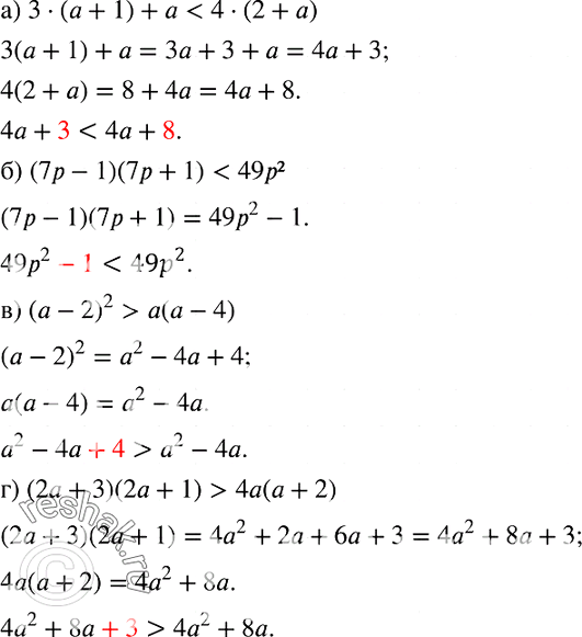
728. Докажите, что при любом значении переменной верно неравенство:
а) 3(а + 1) + а < 4(2 + а);
б) (7р - 1)(7р + 1) < 49р2;
в) (а - 2)2 > а (а - 4);
г) (2а + 3)(2а + 1) > 4а (а + 2).
*размещая тексты в комментариях ниже, вы автоматически соглашаетесь с пользовательским соглашением