Упр.582 ГДЗ Макарычев Миндюк 8 класс (Алгебра)
Решение #1
Решение #2

Рассмотрим вариант решения задания из учебника Макарычев, Миндюк, Нешков 8 класс, Просвещение:
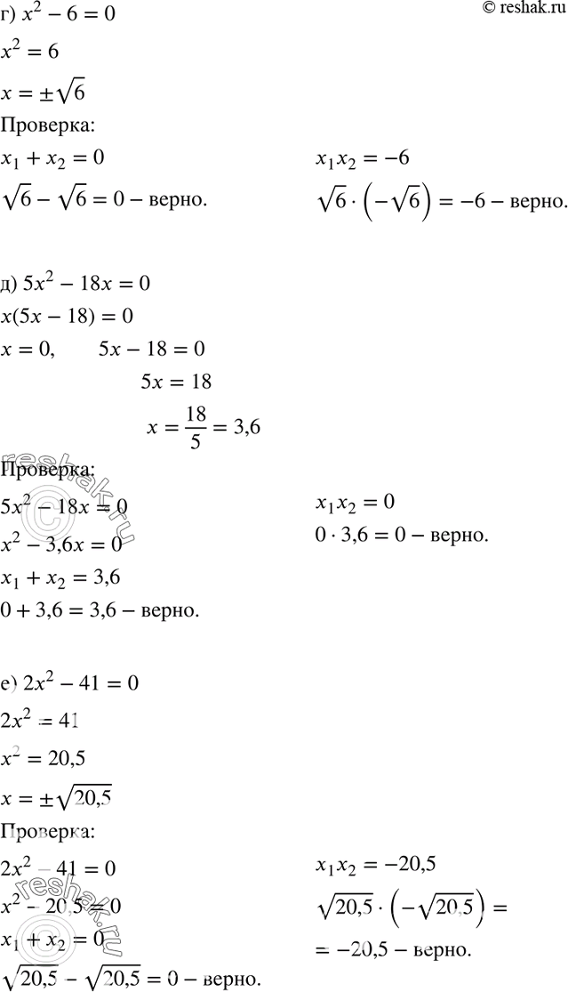
582. Найдите корни уравнения и выполните проверку по теореме, обратной теореме Виета:
а) х2 - 15х - 16 = 0;
б) х2 - 6х - 11 = 0;
в) 12х2 - 4х - 1 = 0;
г) х2 - 6 = 0;
д) 5х2 - 18х = 0;
е) 2х2 -41 = 0.
*размещая тексты в комментариях ниже, вы автоматически соглашаетесь с пользовательским соглашением