Упр.437 ГДЗ Макарычев Миндюк 8 класс (Алгебра)
Решение #1
Решение #2

Рассмотрим вариант решения задания из учебника Макарычев, Миндюк, Нешков 8 класс, Просвещение:
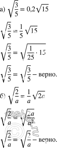
437. Докажите, что:
а) корень 3/5 = 0,2 корень 15;
б) корень 2/a = 1/a корень 2a.
*размещая тексты в комментариях ниже, вы автоматически соглашаетесь с пользовательским соглашением