Упр.426 ГДЗ Макарычев Миндюк 8 класс (Алгебра)
Решение #1
Решение #2
Решение #3

Рассмотрим вариант решения задания из учебника Макарычев, Миндюк, Нешков 8 класс, Просвещение:
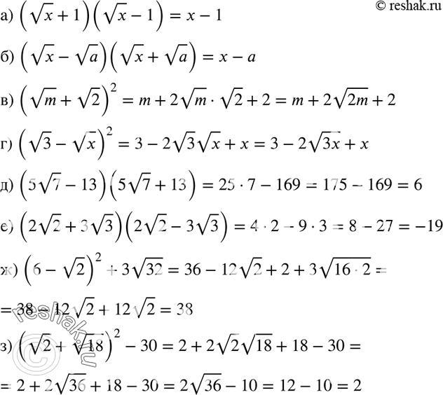
426. Преобразуйте выражение:
а) (корень х + 1)(корень x - 1);
б) (корень х - корень a)(корень х + корень а);
в) (корень m + корень 2)2;
г) (корень 3 - корень х)2;
д) (5 корень 7 - 13)(5 корень 7 + 13);
е) (2 корень 2 + 3 корень 3)(2 корень 2 - 3 корень 3);
ж) (6- корень 2)2+3 корень 32;
з) (корень 2 + корень 18)2 - 30.
*размещая тексты в комментариях ниже, вы автоматически соглашаетесь с пользовательским соглашением