Упр.413 ГДЗ Макарычев Миндюк 8 класс (Алгебра)
Решение #1
Решение #2

Рассмотрим вариант решения задания из учебника Макарычев, Миндюк, Нешков 8 класс, Просвещение:
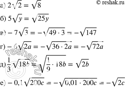
413. Замените выражение арифметическим квадратным корнем или выражением, ему противоположным:
а) 2 корень 2;
б) 5 корень y;
в) -7 корень 3;
г) -6 корень 2a;
д) 1/3 корень 18b;
е) -0,1 корень 200c.
*размещая тексты в комментариях ниже, вы автоматически соглашаетесь с пользовательским соглашением