Упр.287 ГДЗ Макарычев Миндюк 8 класс (Алгебра)
Решение #1
Решение #2

Рассмотрим вариант решения задания из учебника Макарычев, Миндюк, Нешков 8 класс, Просвещение:
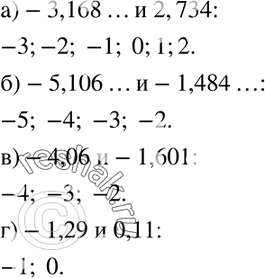
287 Какие целые числа расположены между числами:
а) -3,168... и 2,734...;
б) -5,106... и -1,484...;
в) -4,06 и -1,601;
г) -1,29 и 0,11?
*размещая тексты в комментариях ниже, вы автоматически соглашаетесь с пользовательским соглашением