Упр.1126 ГДЗ Макарычев Миндюк 8 класс (Алгебра)
Решение #1
Решение #2
Решение #3

Рассмотрим вариант решения задания из учебника Макарычев, Миндюк, Нешков 8 класс, Просвещение:
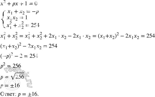
1126 Сумма квадратов корней уравнения х2 + рх + 1 = 0 равна 254. Найдите коэффициент р.
*размещая тексты в комментариях ниже, вы автоматически соглашаетесь с пользовательским соглашением