Упр.1094 ГДЗ Макарычев Миндюк 8 класс (Алгебра)
Решение #1
Решение #2

Рассмотрим вариант решения задания из учебника Макарычев, Миндюк, Нешков 8 класс, Просвещение:
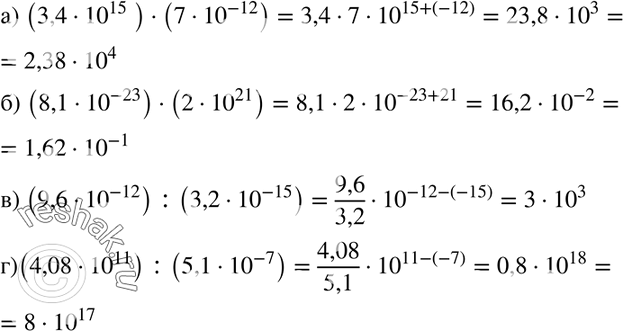
1094. Выполните действия над числами, записанными в стандартном виде:
а) (3,4 * 10^15) * (7 * 10^-12);
б) (8,1 * 10^-23) * (2 * 10^21);
в) (9,6 * 10^-12): (3,2 * 10^-15);
г) (4,08 * 10^11): (5,1 * 10^-7).
*размещая тексты в комментариях ниже, вы автоматически соглашаетесь с пользовательским соглашением