Упр.1083 ГДЗ Макарычев Миндюк 8 класс (Алгебра)
Решение #1
Решение #2

Рассмотрим вариант решения задания из учебника Макарычев, Миндюк, Нешков 8 класс, Просвещение:
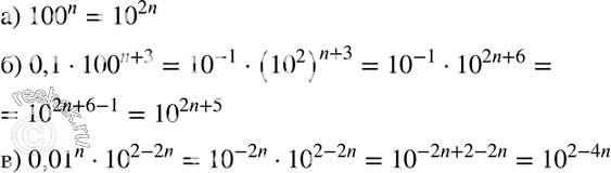
1083. Представьте выражение в виде степени с основанием 10 (n — целое число):
а) 100n;
б) 0,1 * 100n + 3;
в) 0,01n * 10^(2- 2n).
*размещая тексты в комментариях ниже, вы автоматически соглашаетесь с пользовательским соглашением