Упр.670 ГДЗ Алимов 10-11 класс (Алгебра)
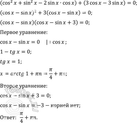
Решение #1
Решение #2

Рассмотрим вариант решения задания из учебника Алимов, Колягин, Ткачёва 10 класс, Просвещение:
670 1) 1 + 2 sin x = sin 2x + 2 cos x;
2) 1 + 3 cos x = sin 2x + 3 sin x.
*размещая тексты в комментариях ниже, вы автоматически соглашаетесь с пользовательским соглашением