Упр.64 ГДЗ Алимов 10-11 класс (Алгебра)
Решение #1
Решение #2

Рассмотрим вариант решения задания из учебника Алимов, Колягин, Ткачёва 10 класс, Просвещение:
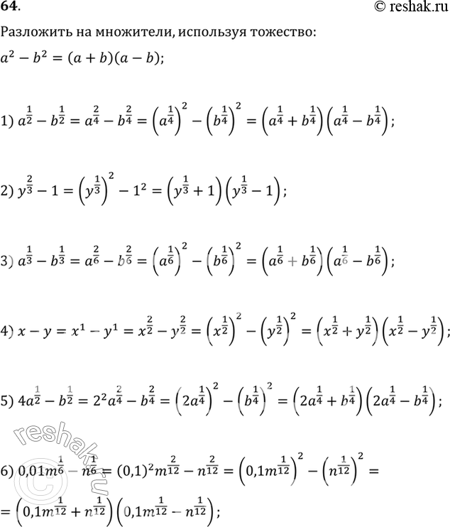
64. Пользуясь тождеством a2-b2=(a+b)(a-b), разложить на множители:
1) a1/2 - b1/2;
2) y2/3 -1;
3) a1/3-b1/3;
4) x-y;
5) 4a1/2 - b1/2;
6) 0,01m1/6-n1/6.
*размещая тексты в комментариях ниже, вы автоматически соглашаетесь с пользовательским соглашением