Упр.215 ГДЗ Алимов 10-11 класс (Алгебра)
Решение #1
Решение #2

Рассмотрим вариант решения задания из учебника Алимов, Колягин, Ткачёва 10 класс, Просвещение:
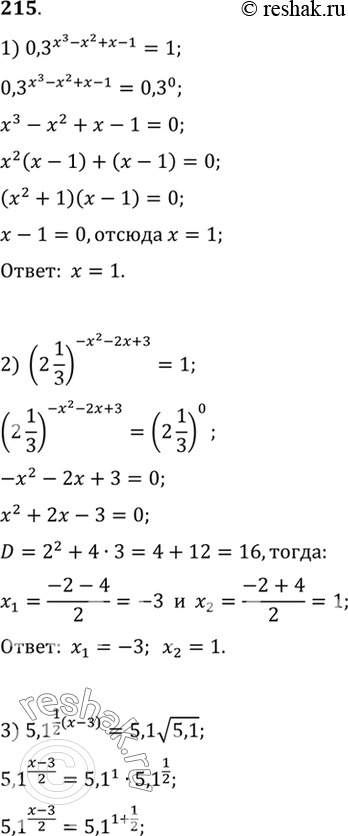
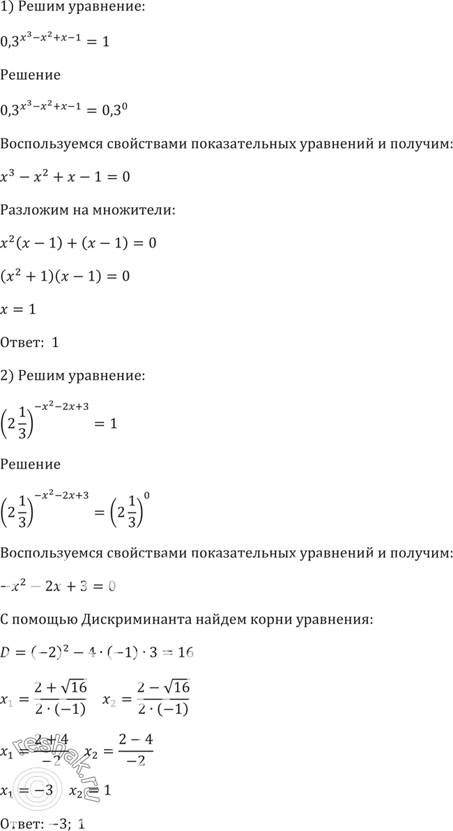
215 1) 0,3^(x3-x2+x-1) =1;
2) (2*1/3)^(-x2-2x+3)=1;
3) 5,1^(1/2(x-3)) = 5,1 * корень 5,1;
4) 100^(x2-1) = 10^(1-5x).
*размещая тексты в комментариях ниже, вы автоматически соглашаетесь с пользовательским соглашением